Originally Posted, 3 October 2024 – The Alpha Equation: Myths and Realities – Jamil Baz
Executive Summary
- Alpha gauges returns against a risk-adjusted benchmark, but it’s often misunderstood.
- Accurately measuring alpha requires understanding relevant risk factors, including leverage, liquidity, volatility, the proper time horizon, and valid benchmarks.
- Distorted measurements of alpha are more common with private assets and niche strategies due to the use of unsuitable benchmarks and the omission of relevant factors.
- Active management has historically been more successful in generating alpha in bonds than in stocks because many investors, such as central banks and insurance companies, are constrained and invest with objectives other than optimizing risk and return.
Alpha (α) is a fundamental yet poorly understood concept in finance. Simply put, it is the difference between the return of an investment and that of a risk-adjusted benchmark. In a more advanced definition, alpha is the residual in an asset pricing equation (see Appendix A). Alpha is what active managers strive to achieve and passive managers do not pursue.
Yet, as with many financial metrics, alpha can be both a powerful tool and a potential pitfall. Its measurement is nuanced and can often be misleading. The difficulty arises from the selection and application of various models, factors, benchmarks, and time horizons. These choices can lead to significantly different estimates of alpha, especially with private assets and less diversified strategies, where unsuitable benchmarks and omitted factors can come into play.
This note will discuss the myths and realities of alpha. It will highlight why some risk factors are invalid and others can help in assessing alpha. Additionally, it will explain why active management has historically been more successful in fixed income than in equities, and it will provide perspective on effective portfolio construction.
Common pitfalls in alpha measurement
Several common errors can cause misleading alpha calculations, whether intentional or not. Let’s examine how these calculations can go astray.
Selecting risk factors
The calculation of alpha depends on the risk factors used in asset pricing models and the extra returns, or risk premia, associated with them. However, many factors cannot be easily or directly incorporated into alpha calculations, while others are of dubious value.
Systematic risk factors
Systematic risks are inherent risks that affect the value of investments in different economic conditions. These risks may arise from changes in business or interest rate cycles, political developments, or unexpected events like the COVID-19 pandemic. Asset pricing models embed systematic risks within beta (β), or market risk, acknowledging that such risks are intrinsic and cannot be diversified away.
Consider how the weather affects the value of an umbrella. When it rains, umbrellas offer protection and thus command higher prices and yield lower expected returns; they are anticyclical assets, moving contrary to the market. Conversely, umbrellas sold on sunny days are akin to procyclical assets, moving in tandem with the market; they have lower prices and higher expected returns.
This analogy encapsulates the essence of asset pricing. Procyclical assets tend to yield more than their anticyclical counterparts. Market movements are pivotal, as they are closely linked to overall economic consumption. Risk factors require higher returns as compensation for their added risk; in contrast, they impose costs if they mitigate risk.
Thus, in our view, an accurate measure of alpha requires a nuanced understanding of how systematic risks affect returns and influence investment performance.
Misleading risk factors
The principal challenge in measuring alpha lies in the selection of appropriate risk factors. However, this task is fraught with potential problems. Four primary obstacles complicate the identification of these factors: data mining, factor crowding, behavioral factors, and anomalies.
- Data mining. This practice involves searching vast datasets to find patterns or factors that appear to be significant but may be spurious. Quantitative researchers often fall into the trap of investing in strategies based on naive backtests. They embark on “fishing expeditions,” running numerous regressions until some, possibly unfounded, appear significant. This is a classic example of whipping the data until they confess to significant, or “lucky,” factors. For example, if one scrutinizes a dataset long enough, it may emerge that stock tickers with the second letter “A” and the fourth letter “G” outperform an index 85% of the time if they are traded between 10 a.m. and 11:20 a.m. on Wednesdays. Needless to say, these lucky factors perform much better in-sample than out-of-sample; that is, they outperform in historical tests but are generally useless trading signals.
- Factor crowding. Even when a factor is valid, its returns may diminish or disappear as more investors capitalize on it. For instance, if a large number of investors target small cap value stocks, the surge in demand can inflate prices, reducing the stocks’ undervaluation and curtailing their excess returns. Over time, the market becomes more efficient and the opportunities for mispricing diminish.
- Behavioral factors. These arise from human behavior such as investor overreaction, recency bias, and herding. These can fuel momentum, a well-documented factor in which assets that have performed well in the past continue to do so in the short term. However, momentum is not always positively correlated to the market and may even have a slightly negative beta.
- Anomalies. At times, the expected risk premium does not align with observed returns for reasons that remain elusive. For example, receiving the two-year fixed rate against the three-month rate in a swap has historically been profitable, yet it is negatively correlated with the stock market. Similarly, steepeners, which profit from a steepening yield curve, have generated positive returns despite being anticyclical. These anomalies may be due to unique historical conditions, such as the low inflation and easy money environment that has generally prevailed since the 1980s.
All these factors fail to check the boxes for relevance. They are either artifacts of the data sample or their returns are hard to relate to systematic risk.
When the significance of a factor is in doubt, we leave it out.
Measurement horizon: How long is enough?
The time horizon over which performance is assessed warrants careful scrutiny. The more volatile the market, the lower its signal-to-noise ratio and the longer it takes to discern whether alpha is the result of luck or skill.
Consider the assessment of a hypothetical active bond manager in the top quartile ranked by risk-adjusted alphas. Their portfolio boasts an information ratio (a measure of risk-adjusted return) of 0.7, a volatility of 4.0% compared with 3.3% for the index, and a correlation of 0.9 with the index returns. How long will it take to determine with 80% probability that this manager will outperform the index? The answer is 1.5 years.
Assessing a manager with a high information ratio dramatically reduces the required measurement horizon. A manager with a 0.7 information ratio would have a 75% probability of outperforming over one year and an 88% probability over three years.
However, if a manager’s information ratio is low, the number of years required to evaluate performance increases exponentially. For a hypothetical manager with an information ratio of 0.2, it would take about 20 years to evaluate performance with 80% confidence.
Figure 1 shows the number of years needed to assess a manager’s ability to outperform a benchmark index with 80% confidence based on the information ratio, as well as volatility and correlation assumptions.
Figure 1: A longer horizon is needed to truly differentiate skill and luck in alpha generation

Source: PIMCO. For illustrative purposes only. Refer to Appendix B for the mathematics of performance evaluation.
The bottom line: Managers are often evaluated over too short a time frame, which misrepresents true skill and conflates luck with genuine alpha generation. – Past performance is not indicative of future results
Private assets
Estimating alpha for private assets and niche, less diversified strategies is particularly susceptible to distortion, whether intentional or not.
Ignoring the liquidity premium often confounds alpha estimates for private assets. Investors in private markets give up some liquidity in pursuit of long-term returns, so it’s important to factor the resulting liquidity premium into the alpha equation. This premium compensates investors for the cost of lost alpha from active management, the inability to rebalance portfolios, and liquidity shortfalls for unexpected liquidity needs. In our July paper, “Navigating Public and Private Credit Markets: Liquidity, Risk, and Return Potential,” we estimated the liquidity premium in private markets to be about 200 basis points.
In short, distortions in estimates of alpha in private funds often reflect the beta of an omitted factor in the asset-pricing model – in this case, the liquidity factor.
Identifying sources of alpha
Given all these pitfalls in the measurement of alpha, one might ask how alpha can be identified and generated. In fact, after more than half a century of investing, PIMCO is familiar with quite a few strategies, including:
- Tilts. Including duration, yield curve, and volatility tilts: As noted above, fixed-rate receiver swaps and steepeners tend to generate excess returns, even though these returns are often countercyclical.
- Use of derivatives. Exposure to mean-reverting return profiles, such as a credit default swap (CDS)-cash basis trade, which may be profitable in periods of turmoil, when the basis (the difference between the CDS spread and the underlying cash bond spread) may become overly negative in response to market volatility; a Treasury futures basis (the difference between the clean price of the Treasury security and the converted futures price); and a TBA roll (selling a to-be-announced (TBA) mortgage-backed security (MBS) contract for one settlement month and simultaneously buying a TBA contract for a later settlement month).
- Styles. Carry, value, momentum, and sentiment are all investment styles with positive expected returns and low-to-negative correlations to equity markets.
- Algorithmic trading. Implementing best execution and low-transaction-cost trading rules.
For a more comprehensive overview, please refer to Appendix C, which presents a nonexhaustive list of fixed income alpha strategies.
Available alpha in the market: Static or dynamic?
Alpha also needs to be assessed relative to its availability in markets. It tends to be countercyclical, spiking during crises such as the global financial crisis (GFC), the eurozone crisis, the taper tantrum, and the COVID-19 pandemic.
One method of gauging its availability is to quantify the dispersion of risk-adjusted expected returns within a market. This dispersion could be viewed as a measure of potential alpha.
Figure 2 illustrates this measure across the main liquid asset classes: equities, rates, foreign exchange (FX), and commodities. It highlights the potential for generating alpha by strategically selecting and weighting assets based on their expected risk-adjusted returns. It also suggests that alpha availability can vary significantly over time, depending on market conditions and asset class performance.
Figure 2: Dispersion index* (equal risk weights: equities, rates, FX, commodities)

*Represents carry-augmented value – Past performance is not indicative of future results
Source: PIMCO, Haver Analytics, and Bloomberg as of 10 October 2023. For illustrative purposes only. The dispersion index is a proprietary index constructed to gauge the amount of alpha opportunities in the market at a given time. Refer to Appendix D for important information on the assumptions used. This figure is provided for illustrative purposes and is not indicative of the past or future performance of any PIMCO product.
Building on the insights from Figure 2, Figure 3 presents the backtested performance of a long-short portfolio constructed using the dispersion index.
Figure 3: Dispersion index backtest (equal risk weights: equities, rates, FX, and commodities)

Source: PIMCO, Bloomberg, and Haver Analytics as of 10 October 2023. For illustrative purposes only. – Past performance is not indicative of future results Refer to Appendix D for important information on the assumptions used. This figure is provided for illustrative purposes and is not indicative of the past or future performance of any PIMCO product.
Market structure typically oscillates between two polar equilibria: high liquidity with low opportunities and low liquidity with high opportunities. The dynamic nature of available alpha underscores the importance of strategies that can capitalize on shifting market conditions to optimize returns.
Active versus passive performance in fixed income and equity
The availability of alpha is central to the active-versus-passive debate in fixed income and equity. Performance data over the past decade – showing active management outperforming in fixed income but not in equities – support our view that bond markets offer more available alpha.
How can this be? After all, as William F. Sharpe observed in his seminal 1991 paper, “The Arithmetic of Active Management,” if passive managers hold the market portfolio, then active managers collectively must also hold the market portfolio, as together they constitute the entire market. Therefore, both groups will generate the same return before fees. However, because active management incurs higher fees than passive management, active managers should, on average, underperform passive managers after fees.
Although the logic may be unassailable, it may not fully apply in fixed income because roughly half of active bond investors are constrained investors whose investment objectives are not solely to optimize the trade-off between risk and return. For example, central banks trade bonds to influence rates, currencies, economic growth, and asset prices, while commercial banks and insurance companies often prioritize book yield over total return due to accounting rules, regulations, or a preference for predictable, low-turnover portfolios (see Figure 4).
Figure 4: Constrained investors control more than half of the $140 trillion global bond market

Source: PIMCO, IMF, Haver Analytics, SNL Financial, EIOPA, ECB, BOE, and SIFMA as of June 2024. For illustrative purposes only. Past performance is not indicative of future results. Data on European insurers as of December 2022; data on Asian banks and insurers as of December 2023; data for other regions are the latest available, either March or June 2024.
These constraints represent a cost and ultimately a transfer of alpha from constrained to unconstrained investors, which include active mutual funds and active exchange-traded funds (ETF) but not passive funds. Alpha potential in the fixed income market also arises from frequent rebalancing, liquidity issues, and structural alpha opportunities. Active bond managers have the potential to exploit these factors to outperform their passive peers and benchmarks.
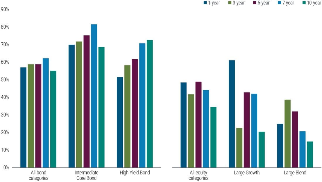
The data support this analysis. Figure 5 illustrates that over the past decade 55% of active fixed income mutual funds and ETFs outperformed their median passive peers after fees. In the two largest fixed income categories, 69% of active funds and ETFs outperformed their median passive peers in Intermediate Core and 72% in High Yield.
In stark contrast, only 34% of active equity mutual funds and ETFs outperformed their median passive peers after fees over the past 10 years. Within the two largest Morningstar equity categories for the same period, only 20% of active funds and ETFs outperformed their median passive peers in Large Growth and 15% in Large Blend.
Figure 5: Active mutual funds and ETFs have outperformed their median passive peers in bonds but not stocks

Source: Morningstar and PIMCO as of 31 December 2023. Past performance is not a guarantee or reliable indicator of future results.
Based on U.S. ETFs and open-end funds (institutional shares only) with at least one-year return history. All bond categories includes Morningstar Intermediate Core Bond, High Yield Bond, Short-Term Bond and Global Bond categories. All equity categories includes Morningstar Large Growth, Large Blend and Large Value categories. To avoid potential survivorship bias, we included ETFs and funds that were live at the beginning of each sample period but were liquidated or merged at any point in time during the reported period. The figure is provided for illustrative purposes and is not indicative of the past or future performance of any PIMCO product.
This pattern has been relatively persistent over the past two decades. Figure 6 shows the average annualized alphas (after fees) for both active and passive funds in the largest Morningstar fixed income categories, using a rolling 10-year window.
Figure 6: Rolling 10-year mean annualized alphas for active and passive funds in Intermediate Core and Intermediate Core Plus categories
Source: Morningstar Direct and PIMCO as of 31 March 2024. Past performance is not a guarantee or a reliable indicator of future results.
Based on U.S. ETFs and open-end funds (institutional shares only) in the Morningstar Intermediate Core Bond and Intermediate Core-Plus Bond categories. Alpha is averaged in equal weights across funds with complete data in each 10-year rolling period between 1 April 2014 and 31 March 2024. Passive funds are defined as index funds or enhanced index funds categorized by Morningstar. Figure is provided for illustrative purposes and is not indicative of the past or future performance of any PIMCO product.
Nonetheless, some investors still allocate to passive bond strategies because they aim to minimize tracking error and reduce investment management and due diligence costs. Passive strategies also provide broad market exposure, making them an attractive option for those looking to achieve consistent, market-like returns.
There are various techniques for optimizing the balance of active and passive allocations. For example, an active investor can seek to maximize expected alpha between active and passive managers subject to a tracking error constraint for an asset.
Conclusion
Alpha is a fundamental concept in finance, representing the excess return on an investment relative to a benchmark index. Its importance lies in its ability to indicate a manager’s skill in generating returns above market movements. However, measuring alpha is nuanced, complex, and heavily dependent on the model and risk factors used.
Reported measurements often reflect the beta of omitted factors, particularly in private assets and niche, less diversified strategies. Distortions can arise from unsuitable benchmarks, overly short measurement horizons, and failure to account for liquidity premia and systematic factors. More alpha tends to be available during periods of low liquidity and risk sell-offs.
We find alpha potential is greater in fixed income than in equities due to the pronounced presence of constrained investors in bond markets. Active managers can seek to gain an edge by exploiting scale, tilts, behavioral biases, fundamental research, and institutional analytics.
Investors should understand that outperformance does not come out of thin air. It is about identifying and capitalizing on unique opportunities that others might overlook.
Future papers in this series will explore how to capture sources of alpha, the impact of behavioral inefficiencies on investing, and how well-designed portfolios can generate consistent structural alpha.
See the PDF version of this piece for the Appendices.
Disclosure: Bonds
As with all investments, your capital is at risk.
Disclosure: ETFs
Any discussion or mention of an ETF is not to be construed as recommendation, promotion or solicitation. All investors should review and consider associated investment risks, charges and expenses of the investment company or fund prior to investing. Before acting on this material, you should consider whether it is suitable for your particular circumstances and, as necessary, seek professional advice.

















Join The Conversation
If you have a general question, it may already be covered in our FAQs page. go to: IBKR Ireland FAQs or IBKR U.K. FAQs. If you have an account-specific question or concern, please reach out to Client Services: IBKR Ireland or IBKR U.K..
Visit IBKR U.K. Open an IBKR U.K. Account